PNIPAm,聚N-异丙基丙烯酰胺,是一种在医药、智能材料制造领域具有广泛的功能性温敏高分子材料,从上个世纪90年代开始引起科研人员的关注,具有大量文献报道。
本文使用BeNano 90 zeta 纳米粒度与Zeta电位分析仪表征了一个PNIPAm微凝胶的粒径和Zeta电位随pH及温度的变化。
结果与讨论

图1. PNIPAm微凝胶不同pH值条件下Zeta电位结果
图1为在25℃下,PNIPAm微凝胶的Zeta电位随pH的变化曲线。可以看出,在使用纯净水配置的母液环境中(pH=6时),Zeta电位为负值,说明此时微凝胶上净电荷为负电,且Zeta电位绝对值最高。采用HCl溶液调节样品pH值,随着pH逐渐降低,样品的Zeta电位绝对值逐渐减小,向零趋近,当pH=1时,样品Zeta电位跨过等电点,由负电变为正电。这是因为在pH值逐渐降低的过程中,溶液中的H+浓度升高,H+的增加改变了样品表面的电离平衡,样品表面的负电荷逐渐被H+中和,因此带电量下降,进而导致了Zeta电位绝对值下降。
通过向体系中添加NaOH,使体系中OH-含量增多,pH值逐渐增大,通常来说带负电的OH-会使得颗粒表面携带更多负电,使Zeta电位负值不断增加。然而观察到随着pH值的升高,Zeta电位绝对值却逐渐减小,当pH=14时,Zeta电位趋近于0。这可能是因为当pH为6或7时,聚合物表面的基团电离比较充分,携带的负电荷已经达到饱和,即使OH-含量增多,颗粒表面也不能携带更多的负电荷,而NaOH浓度上升逐渐增加了体系中离子强度,离子强度越高,对于Zeta电位的屏蔽效果越来越强,导致了Zeta电位绝对值的降低。

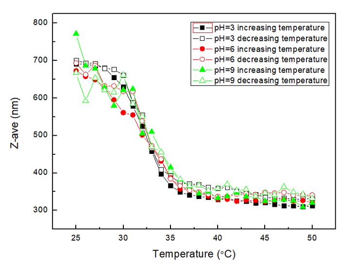
图2. 不同pH环境中PNIPAm水凝胶在不同温度下的粒径曲线
图2显示了pH=3,6和9环境中,样品的粒径随温度变化趋势。可以看到在三个pH环境中,样品的粒径随着温度升高逐渐降低,从25℃的700nm逐渐减小到50℃的约300nm。这种明显的随温度升高而收缩的现象是由于形成分子间氢键导致的。在降温过程中,氢键断裂,样品粒径逐渐增加。样品展现了可逆的粒径随温度的变化的趋势。三个pH环境中,在相同温度下粒径接近没有明显差别,说明该样品的粒径对于pH改变不是特别敏感。

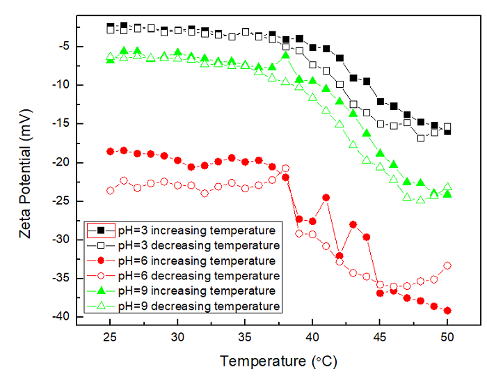
图3. 不同pH环境中PNIPAm水凝胶在不同温度下的Zeta电位曲线
图3. 不同pH环境中PNIPAm水凝胶在不同温度下的Zeta电位曲线
结论
在这个应用报告中,通过BeNano 90 Zeta仪器表征了一个PNIPAm微凝胶样品在不同pH值条件和不同温度下的粒径和Zeta电位信息。结果表明,样品的Zeta与环境pH相关。不同pH下,样品具有类似的粒径和pH温敏特点,即随着温度升高粒径降低,而Zeta电位逐渐升高。